こんにちは!本日もご覧いただきありがとうございます!
早速、ドル円の環境認識を行っていきます。
週足
今日も週足から見ていきます。

週足は「上目線」で直近の最高値を更新してきました。
土曜の朝に上でローソク足が確定したら高値更新になるのでさらに上の勢いが強くなりそうですね。
日足
続いて日足を見ていきます。

日足では週足の最高値を実体で更新して確定しました。
「上目線」で「上昇トレンド」が出ている相場です。
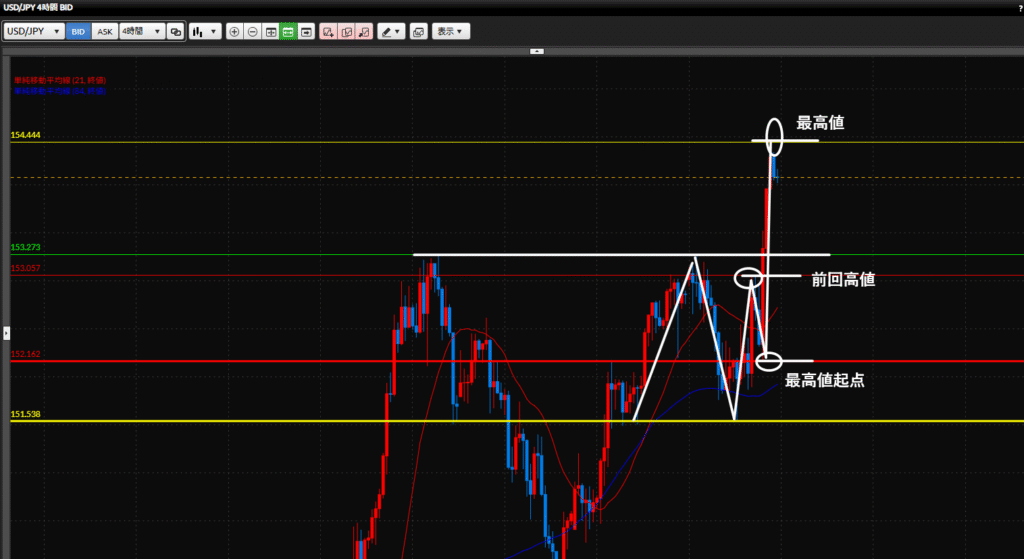
4時間足
続いて4時間足を見ていきます。

4時間足も「上目線」の「上昇トレンド」が出ている相場です。
1時間足
続いて1時間足を見ていきます。

1時間足も同様に「上目線」で「上昇トレンド」が出ている相場です。
最高値から少し調整波が出ていますね。
まとめとトレード戦略
・週足 上目線 最高値更新(まだ確定はしていない)
・日足 上目線 上昇トレンド
・4時間足 上目線 上昇トレンド
・1時間足 上目線 上昇トレンド
目線がすべて上で揃っているのでかなり買い目線の相場かなとおもいます。
本日のシナリオは
①1時間足の高値更新後5分足起点からロング
②1時間足前回高値付近まで引き付けてロング
この2つの戦略でトレードしていこうと思います!
それでは本日もご覧いただきありがとうございました!
トレード頑張りましょう!



コメント